Goals
The Center for the Sustainable Use of Renewable Feedstocks (CenSURF) addresses the challenge of developing the renewable resources, carbon dioxide and lignocellulosic biomass, as alternative feedstocks to petrochemicals. Advancing such science and technology for their industrial utilization constitutes a major milestones in sustainable chemistry. CenSURF aims to create new strategies and intellectual property for the target-driven production of chemicals from lignin though the integration of three research themes.
Theme 1: Selective lignin disassembly.
In Theme 1, we explore three complementary approaches, namely catalytic reductive cleavage, solvolysis, and biological depolymerization to deconstruct this biopolymer into the aromatic monomers.
Theme 2: Chemical and electrochemical upgrading of lignin-derived substrates.
In Theme 2, we design new chemical and electrochemical procedures to achieve the conversion. Our strategy involves pairing complementary oxidative and reductive reactions to minimize energy input and achieve both electron and atom economy.
Theme 3: New catalysts for anodic and cathodic process integration.
In Theme 3, we employ sustainable paired redox reactions. CenSURF researchers are developing new catalysts and reactions to facilitate the reduction of both CO2 and CO that will allow the efficient capture and utilization of the products.
Publications
Bichlien H. Nguyen; Robert J. Perkins; Jake A. Smith; Kevin D. Moeller "Photovoltaic-driven organic electrosynthesis and efforts toward more sustainable oxidation reactions" Beilstein Journal of Organic Chemistry. 2015. in press.

Thuy-Ai D. Nguyen; Bryan R. Goldsmith; Homaira T. Zaman; Guang Wu; Baron Peters; Trevor W. Hayton "Synthesis and Characterization of a Cu14 Hydride Cluster Supported by Neutral Donor Ligands" Chemistry - A European Journal 2015, early online access.

Daniel C. Ashley and Mu-Hyun Baik "How a Redox-Innocent Metal Promotes the Formal Reductive Elimination of Biphenyl Using Redox-Active Ligands" Chemistry - A European Journal 2015, 21, 4308-4314.

Jie Chen; Wei-Qing Yan; Chiu Marco Lam; Cheng-Chu Zeng; Li-Ming Hu; R. Daniel Little "Electrocatalytic Aziridination of Alkenes Mediated by n-Bu4NI: A Radical Pathway" Organic Letters, 2015, 17, 986-989.

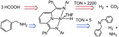
Louise A Berben "Catalysis by Aluminum(III) Complexes of Non-Innocent Ligands" Chemistry - A European Journal 2015, 21, 2734-2742 Invited Concept Article.

Emily J. Thompson; Thomas W. Myers; Louise A. Berben "Synthesis of Square Planar Al(III) Complexes" Angewandte Chemie 2014, 53, 14132-14134.

Thuy-Ai D. Nguyen; Ashley M. Wright; Joshua S. Page; Guang Wu; Trevor W. Hayton "Oxidation of Alcohols and Activated Alkanes with Lewis Acid-Activated TEMPO" Inorganic Chemistry 2014, 53, 11377-11387.

Katalin Barta; Peter C. Ford "Catalytic Conversion of Nonfood Woody Biomass Solids to Organic Liquids" Accounts of Chemical Research 2014, 47, 1503-1512.

Robert Francke; R. Daniel Little "Redox catalysis in organic electrosynthesis: basic principles and recent developments" Chemical Society Reviews 2014, 43, 2492-2521.

Robert Francke; R. Daniel Little "Optimizing electron transfer mediators based on arylimidazoles by ring fusion: synthesis, electrochemistry and computational analysis of 2-aryl-1-methylphenanthro[9,10-d]imidazoles" Journal of the American Chemical Society 2014, 136, 427-435.

Bichlien H. Nguyen; Alison Redden; Kevin D. Moeller "Sunlight, electrochemistry, and sustainable oxidation reactions" Green Chemistry 2014, 16, 69-72.

Submitted Papers
On the Reactivity of N-Oxyl Radicals in the Presence of Lewis Acids: Mild and Efficient Oxidation with TEMPO and Scandium Triflate, Lam, C. M.; Little, R. D.; Hayton, T. W.; Francke, R. Org. Lett.
Invited Talks
Keynote Speaker, L. A. Berben: “Metal-Ligand Cooperative behaviour in Aluminium(III) Complexes Mediates Redox Chemistry and Catalysis.” Interntl. Symposium on Inorganic Ring Systems, Regensburg, Germany, July 2015
Invited talk presented by S. L. Scott "Supported metal catalysts for lignin hydrogenolysis” Susannah Scott, Zachary Jones, Xuejiao Wu; Symposium on Novel Catalytic Materials for Renewable Fuels/Chemicals 249th ACS National Meeting, Denver CO, March 2015
Invited talk presented by P. C. Ford: “Upgradng Porous Metal Oxide Catalysts for the Reductive Disassembly of Lignocellulose to Value Added Platform Chemicals” Peter C. Ford, Christopher M. Bernt, Megan Chui, Zachary Jones, Giovanni Bottari, Felix Brunner, Hussaya Maneesuwan, Katalin Barta, Alexei Iiretski, Susannah L. Scott; 249th ACS National Meeting, Novel Catalytic Materials for Renewable Fuels/Chemicals. Denver CO, March 2015
Invited talk presented by L.A. Berben: "Electrocatalytic Reduction of CO2 Selectively to Formate in Water Mediated by an Iron Carbonyl Cluster" 249th ACS National Meeting, Symposium on Natural Resource Capture, Storage and Energy Conversion. Denver CO, March 2015
Invited talk presented by M. O’Malley: "New Enzymes from Old Microbes: Exploiting Anaerobic Gut Fungi for Biomass Breakdown" Department of Energy Genomic Sciences Meeting, Tyson's Corner, VA, February 2015
Invited talk presented by S. L. Scott "Kinetics and Mechanisms of Lignin Model Compound Reactions over a Hydrotalcite-Derived Copper Catalyst" Zachary Jones, Xuejiao Wu, Chris Bernt, Bryan R. Goldsmith, Susannah L. Scott, Baron Peters, Peter C. Ford; Symposium on Catalytic Processing of Fossil and Biorenewable Feedstocks
AIChE Annual Meeting, Atlanta GA, November 2014
Invited talk presented by P. C. Ford: “Studies of the reductive disassembly of lignin and lignocellulose using Earth-abundant catalysts” Peter C. Ford, Katalin Barta, Alexei V. Iretskii, Susannah L. Scott; 248th ACS National Meeting, Catalysis Division Symposium: Catalysis for Biomass Conversion. San Francisco CA, August 2014
Invited talk presented by S. L. Scott "Kinetics and Mechanisms of Lignin Model Compound Reactions Over a Supported Copper Catalyst" Zachary Jones, Bryan R. Goldsmith, Susannah L. Scott, Baron Peters; 248th ACS National Meeting, Division for Environmental Chemistry Symposium: Heterogenous Catalysis for Environmental and Energy Applications. San Francisco CA, August 2014
Invited talk presented by L. A. Berben: “Aluminum- ligand cooperation mediates the redox chemistry and catalysis of CO2 conversion." 248th ACS National Meeting, Symposium for Organometallics Young Investigator Award, San Francisco CA, August 2014
Plenary Speaker, L. A. Berben: “Metal-Ligand Cooperative behaviour in Aluminium(III) Complexes Mediates Redox Chemistry and Dehydrogenation Catalysis.” RSC Meeting, Challenges in Inorganic and Materials Chemistry, Dublin, Ireland, July 2014
Invited talk presented by L. A. Berben: “Metal-Ligand Cooperative behaviour in Aluminium(III) Complexes Mediates Redox Chemistry and Dehydrogenation Catalysis” Inorganic Chemistry Gordon Research Conference, Biddeford ME; June 2014
Contributed Talks and Posters
Talk presented by C. M. Lam: “Electrochemical Character and Application of Halide Mediators Using CF3CH2OH As Solvent” Chiu Marco Lam, Cheng-chu Zeng, and R. Daniel Little. 227th ECS Meeting, Symposium: Mechanistic Organic Electrochemistry. Chicago IL, May 2015
Poster presented by M. O’Malley "Deciphering Transcriptional Regulation Patterns for Novel Enzyme Discovery" International Conference on Biomolecular Engineering, Austin TX, January 2015
Poster presented by Bruce Johnson "Toward electrocatalytic CO2 reduction using heterogeneous approaches to Cu-based catalysts” Bruce M. Johnson, Zachary Jones, Louise A. Berben, Susannah L. Scott 248th ACS National Meeting, Div. Inorg. Chem. San Francisco CA, August 2014
Poster presented by T. -A. D. Nguyen: "Chemical and Electrochemical Approaches Towards Oxidative Lignin Disassembly" Thuy-Ai D. Nguyen, Stephen Springer, Robert Francke, William R. Buratto, Alison Butler, Trevor W. Hayton, R. Daniel Little. 248th ACS National Meeting, Div. Inorg. Chem. San Francisco, August 2014

